动态图库网
首页 > GIF动态图

神的恩典多多

2022-03-09 来源:动态图库网

神的恩典多多歌谱

神的恩典多多歌谱

祝福满满恩典多多

祝福满满恩典多多

第172首 -神的恩典多多

第172首 -神的恩典多多

神的恩典数一数简谱

神的恩典数一数简谱

2015--新年祝福!神的恩典!

2015--新年祝福!神的恩典!

神的恩典多多【消音版原调】

神的恩典多多【消音版原调】

数算神恩典歌谱

数算神恩典歌谱

活着就是神的恩典歌谱

活着就是神的恩典歌谱

恩典之光

恩典之光

></p></a>> >> 未分类 >>神的恩典

>> >> 未分类 >>神的恩典

一切都是神的恩典

一切都是神的恩典

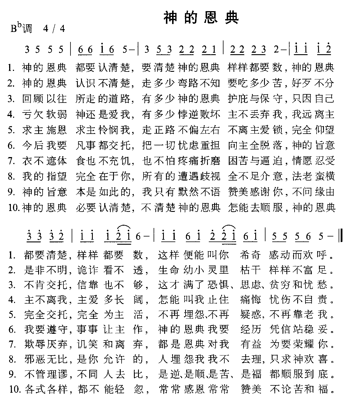
神的恩典

神的恩典

数算神的恩典【感恩版】-我的神我要永远赞

数算神的恩典【感恩版】-我的神我要永远赞

神的恩典够我用官方和弦

神的恩典够我用官方和弦

恩典中的恩典

恩典中的恩典

神的恩典永不忘歌谱— 全心赞美></p></a>

神的恩典永不忘歌谱— 全心赞美>