3 uhsn3(4) gifs
2022-03-16 来源:动态图库网

3 uhsn3(4) gifs
peow4 gif - peow4 gifs
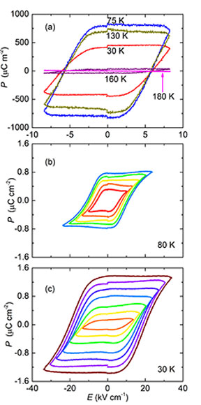
图3:bimn3cr4o12不同温度下的电滞回线,展示了大的电极化强度.
15 funniest gifs from funny to fab
gifs 002
saturday personal finance gifs: mba edition
4 swelling ratio curves of wpuhs 表3 wpuh 1~wpuh7水凝胶的溶胀
kika emoji keyboard pro gifs 3.4.729 - download
up nextautoplay related gifs 4k gif 3.
024gifs.com
top 30 第4期 gifs | find the best gif on gfycat
ui·animated gifs动效
福利来啦~(4gifs) 你最喜欢哪个?
50 inspiring animated gifs
selected gifs 4
kika emoji keyboard pro gifs 3.4.729 - download