动态图库网
首页 > 综合图库

程序流程图如图5.95所示.(4)

2021-02-07 来源:动态图库网

主程序流程图如图4.1所示

主程序流程图如图4.1所示

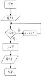
如图所示的算法流程图中,若输入的x值为-1,则输出的y值是

如图所示的算法流程图中,若输入的x值为-1,则输出的y值是

lcd 显示程序流程图如图4 所示:     应用程序编写完之后,用交叉编译

lcd 显示程序流程图如图4 所示: 应用程序编写完之后,用交叉编译

如图5所示信号接收系统程序流程图.          3 结论

如图5所示信号接收系统程序流程图. 3 结论

主程序流程图如图3 所示.

主程序流程图如图3 所示.

程序框图(算法流程图)如图所示,其输出结果是

程序框图(算法流程图)如图所示,其输出结果是

2片dsp的程序流程图如图7,图8所示.

2片dsp的程序流程图如图7,图8所示.