动态图库网
首页 > GIF动态图

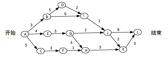
(2016年下半年例题) 某软件项目的活动图如下图所示,其中顶点表示项目

2023-06-16 来源:动态图库网

如下图所示为一个软件项目的活动网络图其中顶点表示项目里程碑边表示

如下图所示为一个软件项目的活动网络图其中顶点表示项目里程碑边表示

下图是一个软件项目的活动网络图其中顶点表示项目里程碑边表示包含的

下图是一个软件项目的活动网络图其中顶点表示项目里程碑边表示包含的

下图是一个软件项目的活动图其中顶点表示项目里程碑连接顶点的边表示

下图是一个软件项目的活动图其中顶点表示项目里程碑连接顶点的边表示

下图是一个软件项目的活动图,其中顶点表示项目里程碑,连接顶点的边

下图是一个软件项目的活动图,其中顶点表示项目里程碑,连接顶点的边

某软件项目的活动图如下图所示,其中顶点表示项目里程碑,连接顶点的边

某软件项目的活动图如下图所示,其中顶点表示项目里程碑,连接顶点的边

2016年下半年程序员考试真题(下午题)

2016年下半年程序员考试真题(下午题)