动态图库网
首页 > GIF动态图

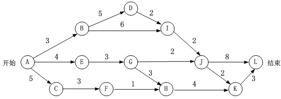
(2016年下半年例题) 某软件项目的活动图如下图所示,其中顶点表示项目(2)

2023-06-16 来源:动态图库网

其中顶点表示项目里程碑,连接顶点的边表示活动,边的权重表示活动的

其中顶点表示项目里程碑,连接顶点的边表示活动,边的权重表示活动的

下图是一个软件项目的活动图,其中顶点表示项目里程碑,连接顶点的

下图是一个软件项目的活动图,其中顶点表示项目里程碑,连接顶点的

(33)(34)下图是一个软件项目的活动图,其中顶点表示项目里程碑,连接

(33)(34)下图是一个软件项目的活动图,其中顶点表示项目里程碑,连接

2004年下半年软件设计师下午试题

2004年下半年软件设计师下午试题

16,如下所示的软件项目活动图中,顶点表示项目里程碑,连接顶点的边

16,如下所示的软件项目活动图中,顶点表示项目里程碑,连接顶点的边